RBSE Solutions for Class 7 Maths Chapter 2 भिन्न एवं दशमलव संख्याएँ Ex 2.2 is part of RBSE Solutions for Class 7 Maths. Here we have given Rajasthan Board RBSE Class 7 Maths Chapter 2 भिन्न एवं दशमलव संख्याएँ Exercise 2.2.
| Board | RBSE |
| Textbook | SIERT, Rajasthan |
| Class | Class 7 |
| Subject | Maths |
| Chapter | Chapter 2 |
| Chapter Name | भिन्न एवं दशमलव संख्याएँ |
| Exercise | Ex 2.2 |
| Number of Questions | 14 |
| Category | RBSE Solutions |
Rajasthan Board RBSE Class 7 Maths Chapter 2 भिन्न एवं दशमलव संख्याएँ Ex 2.2
प्रश्न 1
रेखाचित्रों से उचित गुणन का मिलान कीजिए।

हल:
(i) (b), (ii) (c), (iii) (a)
![]()
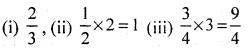
प्रश्न 2
गुणन (बारम्बार जीड़) के रूप में निम्नलिखित चित्रों को दर्शाइए।

हल:

![]()
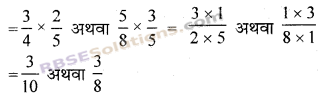
प्रश्न 3
गुणा करके सरलतम रूप में लिखिए

हल:

![]()

प्रश्न 4
छायांकित कीजिए।
(i) बॉक्स (a) में वृत्तों की संख्या के \(\frac { 1 }{ 2 }\) भाग को रंगिए।
(ii) बॉक्स (b) में त्रिभुजों की(RBSESolutions.comसंख्या के \(\frac { 2 }{ 3 }\) भाग को रंगिए।
(iii) बॉक्स (c) में चोकोर आकारों की संख्या को \(\frac { 1 }{ 5 }\) भाग को रंगिए।

हल:

![]()
प्रश्न 5
निम्नलिखित को ज्ञात कीजिए।

हल:

![]()
प्रश्न 6
ज्ञात कीजिए

हल:

![]()
प्रश्न 7
निम्नलिखित भिन्नों का गुणा कीजिए

हल:

![]()
प्रश्न 8
कौन बड़ा है?

हल:
![]()

हम जानते हैं कि भिन्नों का अंश(RBSESolutions.comसमान हो, तो उनमें वह भिन्न बड़ी होगी जिसका हर छोटा है।

![]()
प्रश्न 9
मनीषा घर से 15 लीटर दूध से भरा केन लेकर निकली। उसने कंचन के यहाँ \(\frac { 2 }{ 5 }\) भाग दूध दिया और भावना के घर \(\frac { 1 }{ 5 }\) भाग दूध दिया और शेष दूध होटल पर बेच दिया, तो बताइए कि
(i) कंचन के घर कितने लीटर दूध दिया।
(ii) भावना के घर(RBSESolutions.comकितने लीटर दूध दिया।
(iii) कितने लीटर दूध मनीषा ने होटल पर बेचा।
हल:
कुल दूध = 15 लीटर
(i) कंचने के घर दिए दूध की मात्रा
= 15 x \(\frac { 2 }{ 5 }\) = \(\frac { 15\times 2 }{ 5 }\) = 3 x 2 = 6 लीटर
(ii) भावना के घर दिए दूध की मात्रा
= 15 x \(\frac { 1 }{ 5 }\) = 3 x 1 = 3 लीटर
(iii) मनीषा के(RBSESolutions.comहोटल पर बेचे दूध की मात्रा
= 15 – (6 + 3) = (15 -9 ) = 6 लीटर
![]()
प्रश्न 10
स्वतंत्रता दिवस पर पीटी प्रदर्शन में 7 बच्चों में प्रत्येक को \(\frac { 3 }{ 4 }\) मीटर की दूरी छोड़ते हुए खड़ा किया गया, तो बताइए पहले और आखिरी बच्चे के बीच में दूरी कितनी है?
हल:
माना 7 बच्चे A, B, C, D, E, F, G इस प्रकार है कि
![]()
AB= BC = CD = DE = EF = FG = \(\frac { 3 }{ 4 }\) मीटर
∴ पहले और अन्तिम बच्चे के बीच की दूरी
मीटर
= AG= 6 × AB
= 6 × \(\frac { 3 }{ 4 }\)
= \(\frac { 3\times 3 }{ 2 }\) = \(\frac { 9 }{ 2 }\) मीटर।
![]()
प्रश्न 11
राहुल एक पेन्टिंग पर(RBSESolutions.comरोजाना 2\(\frac { 3 }{ 4 }\) घंटे काम करता है यदि वह उसे पूरा करने में 8 दिन लगाता है तो बताइए। उसने कुल कितने घंटे काम किया।
हल:
राहुल का एक दिन का काम = 2\(\frac { 3 }{ 4 }\) = \(\frac { 11 }{ 4 }\)घंटे
∴ राहुल का 8 दिन का काम = \(\frac { 11 }{ 4 }\) x 8
= 11 x 2 = 22 घंटे
प्रश्न 12
एक कार एक लीटर पेट्रोल में 23\(\frac { 1 }{ 5 }\) किमी दूरी तय करती है तो 2\(\frac { 2 }{ 3 }\) लीटर पेट्रोल में कितनी किमी चल पाएगी। हल:
∵ कार 1 लीटर(RBSESolutions.comपेट्रोल में दूरी तय करती है।
= 23\(\frac { 1 }{ 5 }\) किमी. = \(\frac { 116 }{ 5 }\) किमी.
∴ कार 2\(\frac { 3 }{ 4 }\) पेट्रोल में दूरी तय करेगी

![]()
प्रश्न 13
(i)
में संख्या लिखिए, ताकि
![]()
(ii)
में प्राप्त संख्या का सरलतम रूप ……. है।
हल:
(i) माना कि
में लिखी संख्या x है।

![]()
प्रश्न 14
(i)
में संख्या लिखिए,।
![]()
(ii)
में प्राप्त संख्या का सरलतम रूप …… है।
हल:
माना कि
में लिखी संख्या x है।

![]()
We hope the RBSE Solutions for Class 7 Maths Chapter 2 भिन्न एवं दशमलव संख्याएँ Ex 2.2 will help you. If you have any query regarding Rajasthan Board RBSE Class 7 Maths Chapter 2 भिन्न एवं दशमलव संख्याएँ Exercise 2.2, drop a comment below and we will get back to you at the earliest.