RBSE Solutions for Class 7 Maths Chapter 6 वैदिक गणित Ex 6.5 is part of RBSE Solutions for Class 7 Maths. Here we have given Rajasthan Board RBSE Class 7 Maths Chapter 6 वैदिक गणित Exercise 6.5.
| Board | RBSE |
| Textbook | SIERT, Rajasthan |
| Class | Class 7 |
| Subject | Maths |
| Chapter | Chapter 6 |
| Chapter Name | वैदिक गणित |
| Exercise | Ex 6.5 |
| Number of Questions | 10 |
| Category | RBSE Solutions |
Rajasthan Board RBSE Class 7 Maths Chapter 6 वैदिक गणित Ex 6.5
उपयुक्त सूत्र का उपयोग करते हुए भिन्न संख्याओं का गुणाँ कीजिए।
प्रश्न 1
![]()
हल:
![]()
प्रश्न 2
![]()
हल:
![]()
![]()
(i) चरम अंक \(\frac { 1 }{ 2 }\), \(\frac { 1 }{ 2 }\) का योग
= \(\frac { 1 }{ 2 }\) + \(\frac { 1 }{ 2 }\) = \(\frac { 1+1 }{ 2 }\) = \(\frac { 2 }{ 2 }\) = 1
(ii) शेष निखिलम् अंक परस्पर समान = 5
(iii) बायाँ पक्ष = प्रथम(RBSESolutions.com)भाग = शेष निखिलम अंक x उसका एकाधिक
(iv) दक्षिण पक्ष = दूसरा भाग = चरम अंकों का गुणा
![]()
प्रश्न 3
![]()
हल:
![]()
प्रश्न 4

हल:

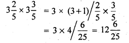
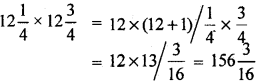
प्रश्न 5
\(12\frac { 1 }{ 4 } \times 12\frac { 3 }{ 4 }\)
हल:

![]()
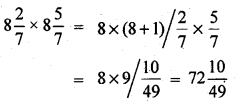
प्रश्न 6
\(8\frac { 2 }{ 7 } \times 8\frac { 5 }{ 7 }\)
हल:

प्रश्न 7
\(3\frac { 1 }{ 4 } \times 4\)
हल:
![]()
![]()
प्रश्न 8
\(2\frac { 1 }{ 5 } \times 5\)
हल:
![]()
प्रश्न 9
\(3\frac { 1 }{ 2 } \times 4\)
हल:
![]()
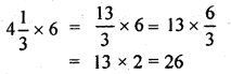
प्रश्न 10
\(4\frac { 1 }{ 3 } \times 6\)
हल:

![]()
We hope the RBSE Solutions for Class 7 Maths Chapter 6 वैदिक गणित Ex 6.5 will help you. If you have any query regarding Rajasthan Board RBSE Class 7 Maths Chapter 6 वैदिक गणित Exercise 6.5, drop a comment below and we will get back to you at the earliest.